阶乘的公式是什么

n!=1×2×3×…×n。阶乘亦可以递归方式定义:0!=1,n!=(n-1)!×n。
亦即n!=1×2×3×…×n。阶乘亦可以递归方式定义:0!=1,n!=(n-1)!×n。
扩展资料
双阶乘用“m!!”表示。
当 m 是自然数时,表示不超过 m 且与 m 有相同奇偶性的所有正整数的乘积。如:
当 m 是负奇数时,表示绝对值小于它的绝对值的所有负奇数的绝对值积的倒数。
当 m 是负偶数时,m!!不存在。
任何大于等于1 的自然数n 阶乘表示方法:
资料来源:阶乘_百度百科
阶乘公式是什么

公式:n!=n*(n-1)!
阶乘的计算方法
阶乘指从1乘以2乘以3乘以4一直乘到所要求的数。
例如所要求的数是4,则阶乘式是1×2×3×4,得到的积是24,24就是4的阶乘。 例如所要求的数是6,则阶乘式是1×2×3×..×6,得到的积是720,720就是6的阶乘。例如所要求的数是n,则阶乘式是1×2×3×…×n,设得到的积是x,x就是n的阶乘。
阶乘的表示方法
在表达阶乘时,就使用“!”来表示。如x的阶乘,就表示为x!
他的原理就是反推,如,举例,求10的阶乘=10*9的阶乘(以后用!表示阶乘)那么9!=?,9!=9*8!,8!=8*7!,7!=7*6!,6!=6*5!,5!=5*4!,4!=4*3!,
阶乘的主要公式

阶乘的主要公式:
1、任何大于1的自然数n阶乘表示方法:n!=1×2×3×……×n 或 n!=n×(n-1)!
2、n的双阶乘:当n为奇数时表示不大于n的所有奇数的乘积 。
如:7!=1×3×5×7
3、当n为偶数时表示不大于n的所有偶数的乘积(除0外)
如:8!=2×4×6×8
4、小于0的整数-n 的阶乘表示:
(-n)!= 1 / (n+1)!
5、0的阶乘:0!=0
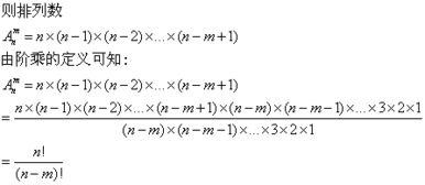
6、组合数公式
扩展资料:
阶乘(factorial)是基斯顿·卡曼(Christian Kramp, 1760 – 1826)于1808年发明的运算符号。阶乘,也是数学里的一种术语。阶乘指从1乘以2乘以3乘以4一直乘到所要求的数。
另外,数学家定义,0!=1,所以0!=1!通常我们所说的阶乘是定义在自然数范围里的,小数没有阶乘,像0.5!,0.65!,0.777!都是错误的。
但是,有时候我们会将Gamma函数定义为非整数的阶乘,因为当x是正整数n的时候,Gamma函数的值是n-1的阶乘。
参考资料:百度百科 – 阶乘
阶乘公式是什么呢?

阶乘的主要公式:
1、任何大于1的自然数n阶乘表示方法。
n!=1×2×3×……×n或n!=n×(n-1)!
2、n的双阶乘:当n为奇数时表示不大于n的所有奇数的乘积。
如:7!=1×3×5×7
3、当n为偶数时表示不大于n的所有偶数的乘积(除0外)。
如:8!=2×4×6×8
4、小于0的整数-n的阶乘表示。
(-n)!=1 / (n+1)!
5、0的阶乘。
0!=0
阶乘计算方法:
正整数阶乘指从1乘以2乘以3乘以4一直乘到所要求的数。例如所要求的数是4,则阶乘式是1×2×3×4,得到的积是24,24就是4的阶乘。
例如所要求的数是6,则阶乘式是1×2×3×……×6,得到的积是720,720就是6的阶乘。例如所要求的数是n,则阶乘式是1×2×3×……×n,设得到的积是x,x就是n的阶乘。
阶乘计算公式

阶乘的主要公式:
1、任何大于1的自然数n阶乘表示方法:n!=1×2×3×……×n 或 n!=n×(n-1)!
2、n的双阶乘:当n为奇数时表示不大于n的所有奇数的乘积 。
如:7!=1×3×5×7
3、当n为偶数时表示不大于n的所有偶数的乘积(除0外)
如:8!=2×4×6×8
4、小于0的整数-n 的阶乘表示:
(-n)!= 1 / (n+1)!
5、0的阶乘:0!=0
6、组合数公式
扩展资料:
阶乘(factorial)是基斯顿·卡曼(Christian Kramp, 1760 – 1826)于1808年发明的运算符号。阶乘,也是数学里的一种术语。阶乘指从1乘以2乘以3乘以4一直乘到所要求的数。
另外,数学家定义,0!=1,所以0!=1!通常我们所说的阶乘是定义在自然数范围里的,小数没有阶乘,像0.5!,0.65!,0.777!都是错误的。
但是,有时候我们会将Gamma函数定义为非整数的阶乘,因为当x是正整数n的时候,Gamma函数的值是n-1的阶乘。
参考资料:百度百科 – 阶乘
原创文章,作者:聚禄鼎,如若转载,请注明出处:https://www.xxso.cn/80856.html