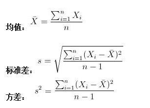
方差的计算公式

计算公式如下:
1、方差公式:
2、标准方差公式(1):
3、标准方差公式(2):
例如两人的5次测验成绩如下:X:50,100,100,60,50,平均值E(X)=72;Y:73,70,75,72,70平均值E(Y)=72。
平均成绩相同,但X不稳定,对平均值的偏离大。方差描述随机变量对于数学期望的偏离程度。单个偏离是消除符号影响方差即偏离平方的均值,记为E(X):直接计算公式分离散型和连续型。
推导另一种计算公式得到:“方差等于各个数据与其算术平均数的离差平方和的平均数”。其中,分别为离散型和连续型计算公式。称为标准差或均方差,方差描述波动程度。
方差的概念:
方差是在概率论和统计方差衡量随机变量或一组数据时离散程度的度量。概率论中方差用来度量随机变量和其数学期望(即均值)之间的偏离程度。统计中的方差(样本方差)是每个样本值与全体样本值的平均数之差的平方值的平均数。在许多实际问题中,研究方差即偏离程度有着重要意义。
方差是衡量源数据和期望值相差的度量值。
方差的计算公式是什么

方差公式:
标准方差公式(1):
标准方差公式(2):
例如 两人的5次测验成绩如下:X: 50,100,100,60,50,平均值E(X)=72;Y:73, 70,75,72,70 平均值E(Y)=72。
平均成绩相同,但X 不稳定,对平均值的偏离大。方差描述随机变量对于数学期望的偏离程度。单个偏离是消除符号影响方差即偏离平方的均值,记为E(X):直接计算公式分离散型和连续型。
推导另一种计算公式得到:“方差等于各个数据与其算术平均数的离差平方和的平均数”。其中,分别为离散型和连续型计算公式。称为标准差或均方差,方差描述波动程度。
扩展资料:
性质:
1、设C为常数,则D(C) = 0(常数无波动);
2、D(CX )=C2D(X ) (常数平方提取,C为常数,X为随机变量);
证:特别地 D(-X ) = D(X ), D(-2X ) = 4D(X )(方差无负值)
3、若X 、Y 相互独立,则,证:记
前面两项恰为 D(X )和D(Y ),第三项展开后为
当X、Y 相互独立时,故第三项为零。特别地独立前提的逐项求和,可推广到有限项。
参考资料来源:百度百科-方差计算公式
方差公式是什么

方差:一组数据中各个数据与平均数的差的平方的和的平均数。
平均数为:(3+4+5)/3=4。
方差为:1/3*[(3-4)^2+(4-4)^2+(5-4)^2]=1/3*(1+0+1)=2/3。
正态分布的后一参数反映它与均值的偏离程度,即波动程度(随机波动),这与图形的特征是相符的。
解:根据上节例2给出的分布律,计算得到工人乙废品数少,波动也小,稳定性好。
相关性质:
1、设C为常数,则D(C) = 0(常数无波动)。
2、D(CX )=C2D(X ) (常数平方提取,C为常数,X为随机变量);证:特别地 D(-X ) = D(X ), D(-2X ) = 4D(X )(方差无负值)。
3、若X 、Y 相互独立,则证:记则前面两项恰为 D(X)和D(Y),第三项展开后为当X、Y 相互独立时,故第三项为零。
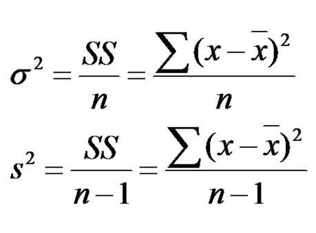
标准方差的计算公式

标准差的计算公式:
标准差,中文环境中又常称均方差,但不同于均方误差(mean squared error,均方误差是各数据偏离真实值的距离平方的平均数,也即误差平方和的平均数,计算公式形式上接近方差,它的开方叫均方根误差,均方根误差才和标准差形式上接近)。
标准差是离均差平方和平均后的方根,用σ表示。假设有一组数值X1,X2,X3,……XN(皆为实数),其平均值(算术平均值)为μ,公式如图:
扩展资料:
标准误表示的是抽样的误差。因为从一个总体中可以抽取出无数多种样本,每一个样本的数据都是对总体的数据的估计。标准误代表的就是当前的样本对总体数据的估计,标准误代表的就是样本均数与总体均数的相对误差。
标准误是由样本的标准差除以样本容量的开平方来计算的。从这里可以看到,标准误更大的是受到样本容量的影响。样本容量越大,标准误越小,那么抽样误差就越小,就表明所抽取的样本能够较好地代表总体。
参考资料来源:百度百科-标准差
方差怎么计算?

有n个数,先求平均值Ex,则方差var(n)=[(x1-Ex)^2+(x2-Ex)^2+……+(xn-EX)^2]/n。
“方差”(variance)这一词语率先由罗纳德·费雪(Ronald Fisher)在其论文《The Correlation Between Relatives on the Supposition of Mendelian Inheritance》中提出。
方差不仅仅表达了样本偏离均值的程度,更是揭示了样本内部彼此波动的程度,也可以理解为方差代表了样本彼此波动的期望。当然,这个结论是在二阶统计矩下成立。
扩展资料:
相关术语:平方差
一、常见错误:平方差公式中常见错误:(注意)
1、学生难于跳出原有的定式思维,如典型错误;(错因:在公式的基础上类推,随意“创造”)
2、混淆公式;
3、运算结果中符号错误;
4、变式应用难以掌握。
二、平方差公式注意事项
1、公式的左边是个两项式的积,有一项是完全相同的。
2、右边的结果是乘式中两项的平方差,相同项的平方减去相反项的平方。
3、公式中的a,b 可以是具体的数,也可以是单项式或多项式。
参考资料来源:百度百科-方差
参考资料来源:百度百科-方差计算公式
参考资料来源:百度百科-平方差公式
原创文章,作者:聚禄鼎,如若转载,请注明出处:https://www.xxso.cn/61358.html