方差计算公式

计算公式为:
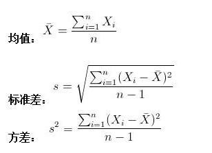
1、方差的计算公式:
2、标准方差计算公式(1):
3、标准方差计算公式(2):
比如二人五次测验成绩为:X:50,100,100,60,50,均值E(X)=72;Y:73,70,75,72,70平均值E(Y)=72。
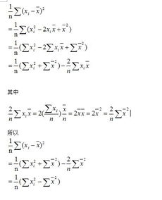
平均成绩是一样的,只是X不够稳定,对于平均值偏差较大。标准差反映样本中各指标在总体上分布的均匀性。方差刻画了随机变量对数学预期的偏离度。它与标准差有区别。单个偏离就是消除了符号影响的方差,也就是偏离平方和的平均值,记作E(X):直接计算公式将散型与连续型分开。
导出了另外一个计算公式,得出:“方差等于各个数据与其算术平均数的离差平方和的平均数”。在这两种情况下,都可以将这些公式简化成一个简单而又实用的计算式。其中分别是离散型与连续型的计算公式。在此基础上进一步讨论了它们之间的关系。叫做标准差,也叫均方差,方差表征波动程度。
方差这一概念:
方差是概率论与统计中方差对随机变量或者数据集合离散程度的测度。它可以用一个独立同分布随机事件的发生概率来表示,也可通过对某一特定时间点所收集到的所有数据进行计算得到。概率论中方差是用来衡量随机变量与其数学期望(即均值)偏离程度的。在统计学中,通常用标准差来描述这种离群点所占比重。统计学中的方差(样本方差)是指每个样本值与全体样本值的平均数之差的平方值的平均数。由于它能较好地刻画样本容量对总体分布规律影响程度的大小,因而广泛应用于经济、金融等领域。在很多现实的问题上,研究方差,也就是偏离的程度,具有十分重要的意义。
方差作为源数据与期望值之间差异的度量值。
方差有哪些公式

方差的计算公式:
标准方差计算公式(1):
标准方差计算公式(2):
比如二人五次测验成绩为:X:50,100,100,60,50,均值E(X)=72;Y:73,70,75,72,70平均值E(Y)=72。
平均成绩是一样的,只是X不够稳定,对于平均值偏差较大。标准差反映样本中各指标在总体上分布的均匀性。方差刻画了随机变量对数学预期的偏离度。它与标准差有区别。单个偏离就是消除了符号影响的方差,也就是偏离平方和的平均值,记作E(X):直接计算公式将散型与连续型分开。
导出了另外一个计算公式,得出:“方差等于各个数据与其算术平均数的离差平方和的平均数”。在这两种情况下,都可以将这些公式简化成一个简单而又实用的计算式。其中分别是离散型与连续型的计算公式。在此基础上进一步讨论了它们之间的关系。叫做标准差,也叫均方差,方差表征波动程度。
扩展资料等:
本质上:
1、设C是常数,那么D(C)=0(常数无波动);
2、D(CX)=C2D(X)(常数平方提取,C为常数,X为随机变量);
证:特别地D(-X)=D(X),D(-2X)=4D(X)(方差无负值)
3、如果X和Y是独立的,那么,就证明:记住
前两个正好是D(X)、D(Y),在第三个展开之后就是
在X,Y彼此独立的情况下,所以第3项是0。尤其是独立前提逐项求和问题可以扩展为有限项问题。
参考资料:百度百科-方差的计算公式
方差、平方差和标准差有哪些计算公式?

方差就是各数据同平均数之差平方和之平均数,其计算公式如下:
其中,x表示样本的平均数,n表示样本的个数,xi表示个体,s^2表示方差。
平方差:a2-b2=(a+b)(a-b)。在数学解题中,经常遇到求一个数是另一数值大小比较大的数的平方差的问题。文字表达式:两数之和与两数之差之乘积等于两数之平方差。这个式子叫做一个符号,表示它是由几个自然数相加而成,所以叫符号运算法则。这就是平方差公式
标准差:标准差=sqrt(((x1-x)^2+(x2-x)^2+……(xn-x)^2)/n)。即方差与均值之比。它为离均差平方和算术平均数平方根以σ表示。它可以用来计算平均相对误差或平均偏差等指标。最常用于概率统计,以衡量统计分布程度。均值和众数都可以用来描述总体特征,而方差则被用来刻画样本之间存在差异的大小或方向。标准差为方差算术平方根。它是指一组随机变量的平均值与离群值之间的偏离度。标准差可以反映出数据集离散程度。
扩展资料等:
方差与标准差对离散趋势的测度最为显着、使用频率最高的指标。本文将分别介绍它们在不同类型的数据分析中的应用及其计算方法。方差为每个变量值与均值离差平方之和,是衡量数值型数据离散程度主要手段。标准差是方差的算术平方根S。
标准差可作为不确定性的衡量指标。比如,物理科学方面,进行重复性测量,测量值集合的标准差代表这些测量的精度。当需要确定测量值与预测值一致时,测量值中标准差起着决定作用:若测量平均值和预测值之间的偏差过大,进而得出测量值和预测值是相互矛盾的结论。
参考资料:百度百科—方差
参考资料:百度百科—平方差
参考资料:百度百科—标准差
标准方差计算公式

标准差计算公式:
标准差在中文环境下也常被称为均方差,但不同于均方误差(mean squared error,均方误差是各数据偏离真实值的距离平方的平均数,也即误差平方和的平均数,计算公式形式上接近方差,它的开方叫均方根误差,均方根误差才和标准差形式上接近)。
标准差为离均差平方和的方根为σ。在计算平均数时,一般采用平均法或对数方法。假设有一组数值X1,X2,X3,……XN(皆为实数),它的均值(算术平均值)是μ,式中表示:
扩展资料等:
标准误表示抽样错误。因此,在统计推断中,我们常常要用一定的方法来计算这些样本均值和标准差,而这一过程就叫做标准化。由于在整体上可提取的样品有无数种,每一样本之资料即为总体之资料估算。标准误代表了当前样本对于总体数据的一种估计值,标准误代表样本均数和总体均数之间的相对误差。
标准误通过样本标准差除以样本容量开平方计算。如果在抽样过程中随机变量个数增加了一个或两个以上,则会使标准偏差增大。由此可见一斑,标准误受样本容量影响较大。因此我们在进行抽样设计时,应该考虑到这个问题。样本容量愈大,标准误愈低,则抽样误差愈小,就说明提取出来的样品能很好的代表总体。
参考资料:百度百科–标准差
方差有哪些公式?

方差就是各数据和平均数之差平方和bai平均数式中:
其中,x表示样本的平均数,n表示样本的个数,xi表示个体,s^2表示方差。
方差概念及计算公式等,比如二人五次测验成绩为:X:50,100,100,60,50,均值E(X)=72;标准差是一个单位在规定范围内变动时引起测量结果波动大小的数值,它可以用平均数来表示。Y:73,70,75,72,70平均值E(Y)=72。标准差是一个度量单位所反映的事物在总体上的变异程度或分布状态,它表示了某一统计量的离散程度,即均值和标准偏差之间的比率关系。平均成绩是一样的,只是X不够稳定,对于平均值偏差较大。标准差反映了平均数与标准离差之间的大小关系。方差刻画了随机变量对数学预期的偏离度。
扩展资料等
平方差:a2-b2=(a+b)(a-b)。在数学解题中,经常遇到求一个数是另一数值大小比较大的数的平方差的问题。文字表达式:两数之和与两数之差之乘积等于两数之平方差。这个式子叫做一个符号,表示它是由几个自然数相加而成,所以叫符号运算法则。这就是平方差公式
标准差:标准差=sqrt(((x1-x)^2+(x2-x)^2+……(xn-x)^2)/n)。在计算方差时把它当作一个常数来看待,即方差等于平均误差和离群值之和。它为离均差平方和算术平均数平方根以σ表示。
原创文章,作者:聚禄鼎,如若转载,请注明出处:https://www.xxso.cn/5743.html