概率论公式

1、二项式:平均数:np方差:np(1-p)2,几何分布:平均数:1/p方差:(1-p)和(p平方)3、排列(有顺序):mAn=m*(m-1)*…..*(m-n+1)4、组合(无顺序):mCn=m*(m-1)*…..*(m-n+1)/(1*2*…*n)5、等可能事件:P(A)=m/n 6、互斥事件:P(A+B)=P(A)+P(B)P(A.B)=07、独立事件:P(A.B)=P(A)。P(B)8、二项式:平均数:np方差:np(1-p)9、几何分布:平均数:1/p方差:欢迎通过(1-p)/(p平方)!
概率的计算公式

12粒围棋子从中任取3粒的总数是C(12,3)
取三粒均为白子,则为C(8,3)
C(8,3) C(8,3)
P=——————=14/55 P=——————=14/55
C(12,3) C(12,3)
排列:从n个不同的元素中取m(m≤n)个元素,按一定次序列队,称为n种不同元素中m种元素排列组合。
排列数:在n种不同元素中,取m(m≤n)种元素全部排列数量,称为由n种不同要素取m种要素的排列数记Anm
排列公式:A(n,m)=n*(n-1)*…..(n-m+1)
组合:由n种不同元素任意取m(m≤n)种元素而成组,称为由n种元素取m种元素之和。
组合数:在n种不同元素中,取m(m≤n)种元素全部组合数量,称为n种不同要素取m种要素的组合数记作Cnm。
组合公式:C(n,m)=A(n,m)/m!=n!/(m!*(n-m)!) 组合公式:C(n,m)=A(n,m)/m!=n!/(m!*(n-m)!)
拓展资料等:
计算概率,要结合实际情况,没有一个统一的万能公式。因此,要想提高解题速度和正确率,就必须从不同角度去思考解决问题的方法,从而达到快速、准确地解答题目。解概率问题,关键在于,在于分析具体问题时。进而考虑采用合适公式。
有个公式经常用到:P(A)=m/n。它可以用来计算各种情况下所需时间和次数,也可以用来说明某些问题。“(A)”表示事情经过。在这个公式里,我们只考虑了事件之间的关系,而没有涉及事件本身。“m”表示事件(A)发生的总次数。这两个概念之间有一种对应关系,即总事件发生的个数与所涉及到的事件都相等。“n”为总事件总次数。
谁知概率论公式?

概率论的定理
设置试验E
样本空间方面
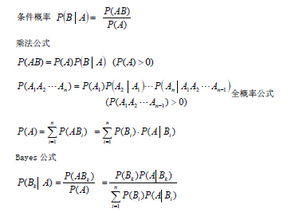
对S、A和E事件、B1、B2和,Bn为S的一个划分,且P(Bi)>0(i=1,2,…,n),则
P(A)=P(A|B1)*P(B1) P(A)=P(A|B1)*P(B1)
+
P(A|B2)*P(B2) P(A|B2)*P(B2)
+
…
+
P(A|Bn)*P(Bn). P(A|Bn)*P(Bn).
上式就叫做
全概率公式等
如何用概率的公式进行计算?

1、C 3 10 = (10*9*8)/(1*2*3) C 3 10 = (10*9*8)/(1*2*3)
A 3 10=10*9*8 A 3 10=10*9*8
2、A(n,m)=n*(n-1)*(n-2)……(n-m+1),也就是由n往下每个数连乘。
C(n,m)=A(n,m)/A(m,m)。这是从最基本、也是最为简单的集合概念出发来研究集合运算法则和性质的一种方法。通常情况下,由n种不同要素组成,任取元素m(m≤n)作为集合,称为由n种不同要素取m种要素的组合。
扩展资料等:
概率之加法法则
定理:设A、B是互不相容事件(AB=φ),则:
P(A∪B)=P(A)+P(B) P(A∪B)=P(A)+P(B)
推论1:设A1、A2、…、An互不相容,则:P(A1+A2+…+An)=P(A1)+P(A2)+…+P(An)
推论2:设A1、A2、…、An构成完备事件组,则:P(A1+A2+…+An)=1
推论三:是事件A中对立的事件。
推论4:若B包含A,则P(B-A)=P(B)-P(A)
推论5(广义加法公式):对任意两个事件A与B,有P(A∪B)=P(A)+P(B)-P(AB)[1]
条件概率等
条件概率:在已知事件B发生的情况下,A发生的概率叫条件概率,记为:P(A|B)
条件概率的计算公式:
当P(A)>0,P(B|A)=P(AB)/P(A) 当P(A)>0,P(B|A)=P(AB)/P(A)
当P(B)>0,P(A|B)=P(AB)/P(B) 当P(B)>0,P(A|B)=P(AB)/P(B)
乘法公式等
P(AB)=P(A)×P(B|A)=P(B)×P(A|B) P(AB)=P(A)×P(B|A)=P(B)×P(A|B)
推广:P(ABC)=P(A)P(B|A)P(C|AB)[1] 推广:P(ABC)=P(A)P(B|A)P(C|AB)[1]
参考资料:百度百科——概率计算
概率论中EX DX各自是什么意思

D(X)指方差,E(X)指预期。
方差是概率论与统计中方差对随机变量或其数据集合的离散程度测度。它与正态概率、正态分布等有着密切的关系,因此,方差被广泛地应用于统计学、数理统计、经济分析等学科。概率论中方差是用来衡量随机变量与其数学期望(即均值)偏离程度的。
从概率论与统计学的角度看,数学期望(或均值,亦简称期望)就是实验中每一次可能出现结果的概率乘上它的结果之和,这是数学的一个基本特征。在许多统计推断问题中,常常要用到这种估计。反映了随机变量的平均取值。
方差和期望互相关联的公式为:
D(X)=E[X-E(X)]^2=E{X^2-2XE(X)+[E(X)]^2}=E(X^2)-2[E(X)]^2+[E(X)]^2 D(X)=E[X-E(X)]^2=E{X^2-2XE(X)+[E(X)]^2}=E(X^2)-2[E(X)]^2+[E(X)]^2
扩展资料等:
对连续型的随机变量X,如果它的定义域是(a,b),概率密度函数f(x),连续型随机变量X方差公式:D(X)=(x-μ)^2 f(x)dx。本文通过定义一个新概念———方差来研究它与随机过程之间的关系,得到一些有趣的结果。方差描述随机变量取值对它的数学期望离散程度。本文讨论在不同条件下随机过程均值和协方差之间关系。(标准差、方差越大,离散程度越大)
若X的取值比较集中,则方差D(X)较小,若X的取值比较分散,则方差D(X)较大。
因此,D(X)是刻画X取值分散程度的一个量,它是衡量取值分散程度的一个尺度。
参考资料:百度百科——数学期望
参考资料:百度百科——方差
原创文章,作者:聚禄鼎,如若转载,请注明出处:https://www.xxso.cn/27346.html