笔记本显卡的排序

大家好,最棒的显卡就是rtx2080ti,最烂的显卡就是mx150居中的话推荐1650,希望对大家有所帮助。
求出了笔记本显卡的名次,还有什么更建议的呢?

笔记本显卡性能排行榜有GTX1080TIi、GTX1070Ti、GTX10606G。这两款显卡都是高端的,价格也很贵。均较建议使用。
七彩虹GTX10606G是一款游戏显卡,iGame烈焰战神U6GD5超频版,因为N卡的厂家很多,并且每家都有许多不同的型号,因此,价格区间拉的更大,然而,不同机型之间的差距还表现在散热,用料等方面,性能上的差别不会很大。
这款七彩虹GTX10606G游戏显卡iGame烈焰战神U6GD5,即使在平均水平,表现合格颜值突出。在这个夏天,对于显卡来说绝对不是一个好天气,因为这款显卡本身就有很多缺点,比如分辨率不够高以及亮度不均匀等等。以前偏爱的显卡就有这两款,当然还有一些诸如RX570、GTX1070这样的产品目前的售价也已经下降很多,例如,如今性价比超级高的GTX1070Ti,表现简直要触及GTX1080边缘,但价格比GTX1080低很多。
技嘉GTX1070Ti显卡豪华版Gaming8G,这台1070Ti的电源是6+2相,全尺寸的金属背板,三风扇散热、超频可达到1709MHz,在超频之后,其表现在1080非公上处于绝对领先地位,当然,这个前提就是1080不能超频。
耕升GTX1080TI追风11GB非公版,耕升1080Ti以11GGDDR5X为显存基础,显存位宽为352bit、16nm工艺制程为帕斯卡架构、核心频率为1645MHz、3DMARK跑分超过9700分,GTXTITAN就是这样的一个级别,是差一张泰坦皮。
对电脑显卡的性能进行排序

1、微星(MSI)
多年来,微星一直坐着显卡出货量第一宝座,2004年,它仍然是全球最大,达到800万片。作为国内领先的显卡制造商之一,在众多的竞争对手中脱颖而出。微星自主研发能力强,是为数不多能够自主发布优化非公版显卡产品的制造商。
它的显卡做工性能还算不错,但微星在通道上还是比较不顺畅,国内的二级市场上可以轻易购买,而有时又为断货所困。
2、华硕(ASUS)
2004年,华硕显卡的发货量大约为790万,以弱胜强,屈居其次。这和其他品牌相比实在有些勉强,但它在市场中已经算是小字辈了,因为其产品线比较单一,只有两款主流型号。华硕显卡质量自然就不多说了,研发能力更非凡,其高端显卡通常为优化强化非公版。
在主板业中独领风骚,华硕在显卡上肯定是受不了落后了,这两年,华硕的显卡业务逐步起步,会给微星老大的身份带来有力挑战。
3、撼迅的
从台湾来的厂家,在大陆的品牌叫做“迪兰恒进(Dataland)”,撼讯显卡制作精良,高端特别突出。它采用了全新的技术架构和工艺路线,让用户体验到了更高的性能、更好的稳定性以及更快的响应速度。2004年撼讯出货量为400万片,居世界第三位,也是ATI三大伙伴之一。震动效果好,画质稳定,音质出色……这就是震撼的力量!对爱好A卡,撼讯(迪兰恒进)就是一个很好的选择。
4、丽台
在nVidia中属于重量级合作伙伴,不仅可以制造出娱乐级显卡,而在亚洲,也只有Quadro系列专业绘图卡才可以制作nVidia,此外,丽台电视卡还在行业内颇有名气。这一切都让她成为众多游戏爱好者心目中理想的选择之一。丽台显卡向来做工精良,不过价格比较昂贵,不过的确物有所值。2004年丽台出货量达到300万片,居5强之列。
5、技嘉(Gigabyte) 技嘉(Gigabyte)
与微星华硕相比,技嘉和ATI较早合作,现亦为ATI三大合作伙伴,2004年发货量也是300万片。技嘉高端显卡独具匠心,质量卓越;
但中低端不少机型都是同德(下文将介绍)代工生产的缩水卡,做工比较差。不过在高端方面还是有一些不错的产品。现状如下,红PCB技嘉显卡出自同德,而且蓝色PCB是技嘉亲力亲为。由于同为代工,所以价格也相差不大。此外,技嘉还拥有一家子公司台湾精星(GigaCube),始终是通路订单居多,主要是针对中低端显卡的市场。
笔记本电脑显卡榜单2020

笔记本电脑显卡中名气较大的不在少数,有的是华为牌显卡,也有的是三星牌显卡
当前笔记本显卡主流排名及简要介绍?

第一GTX980M
Notebook和R9 Notebook和R9
M395X最强大
性价比为神州战神
联想
惠普等
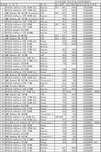
AMD笔记本显卡(2015):
Radeon Radeon
R9 R9
M395X M395X
Radeon Radeon
R9 R9
M390X M390X
Radeon Radeon
R9 R9
M385X M385X
Radeon Radeon
R9 R9
M380 M380
Radeon Radeon
R9 R9
M375X M375X
AMD笔记本显卡(2015、2014):
Radeon Radeon
R9 R9
M295X M295X
Radeon Radeon
R9 R9
M290X M290X
Radeon Radeon
R9 R9
M280(X) M280(X)
Radeon Radeon
R9 R9
M275X M275X
AMD笔记本显卡(2013):
Radeon Radeon
HD HD
8970M 8970M
Radeon Radeon
HD HD
8870M 8870M
AMD笔记本显卡(2012):
Radeon Radeon
HD HD
7970M 7970M
Radeon Radeon
HD HD
7870M 7870M
NVIDIA笔记本显卡(2015、2014):
GeForce GeForce
GTX GTX
980
(Notebook) (Notebook)
GeForce GeForce
GTX GTX
980M 980M
GeForce GeForce
GTX GTX
970M 970M
GeForce GeForce
GTX GTX
965M 965M
GeForce GeForce
GTX GTX
960M 960M
GeForce GeForce
GTX GTX
950M 950M
NVIDIA笔记本显卡(2014):
GeForce GeForce
GTX GTX
880M 880M
GeForce GeForce
GTX GTX
870M 870M
GeForce GeForce
GTX GTX
860M 860M
GeForce GeForce
GTX GTX
850M 850M
NVIDIA笔记本显卡(2013):
GeForce GeForce
GTX GTX
780M 780M
GeForce GeForce
GTX GTX
770M 770M
GeForce GeForce
GTX GTX
765M 765M
GeForce GeForce
GTX GTX
760M 760M
NVIDIA笔记本显卡(2012):
GeForce GeForce
GTX GTX
680M 680M
GeForce GeForce
GTX GTX
675MX 675MX
GeForce GeForce
GTX GTX
675M 675M
GeForce GeForce
GTX GTX
670MX 670MX
GeForce GeForce
GTX GTX
670M 670M
原创文章,作者:聚禄鼎,如若转载,请注明出处:https://www.xxso.cn/16054.html