电脑显卡排名?

给你来个2011年1月份的最新测评
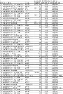
显卡配置排行

关于显卡配置排行这个问题,如下:
一台高配的电脑少不了一个好的显卡。显卡的品牌非常多,如华硕、微星、七彩虹、影驰等。每个品牌都有不同系列的显卡来应对不同的消费需求。如主打高端消费的华硕ROG系列,七彩虹vulcan系列、影驰名人堂系列、微星GAMING系列。但是对很多用户来说并不是很了解,。下面给大家带来2020显卡配置排行:
NO1:GTX1650 D5
推荐:铭瑄 GTX1650 终结者 4G
活动价格:899元
推荐:七彩虹 GTX1650 战斧 4G
价格:949元
简评:主流游戏显卡以GTX1650为及格线,听起来感觉有些低,实际上,这个“及格卡”在目前已经算中档独显,显卡厂商对低端卡都没什么兴趣。
铭瑄品牌创立于2002年,在显卡领域耕耘了16年了。铭瑄和七彩虹有一个共同点,都是以显卡起家,然后向主板领域发展。根据最新2020年4月博板堂公布的SELL IN数据,铭瑄显卡出货量在国内排第六位,颇具实力。
NO2:GTX1650 D6
推荐:七彩虹 GTX1650 战斧 4G D6
活动价格:1029元
推荐:技嘉 GTX1650 WF2OC 4G D6
优惠价格:1079元
简评:GTX1650家族人丁兴旺(导读:带有GTX1650的显卡竟然有11种? 生娃太多引发重名>>),仅台式机范围,就有GTX1650 D5、GTX1650 D6、GTX1650Ti、GTX1650 SUPER共四人。
GTX1650 D6性能比D5版大约高7%。
NO3:GTX1650 SUPER
推荐:七彩虹 iGame GTX1650 SUPER Ultra OC 4G D6
活动价格:1139元
推荐:耕升 GTX1650 SUPER 追风 4G
活动价格:1179-100=1079元
简评:性能比GTX1650高大约37%,略超过老将GTX1060 6G。按照【FSE+TS加权对比】法,GTX1650 SUPER的性价比非常出色。七彩虹iGame定位高于战斧,多几十元值得。耕升和影驰现在同属一家公司,据渠道人士透露,耕升和影驰的将系列是共线生产,质保也是三年。
NO4:GTX1660
推荐:铭瑄 GTX1660 终结者 6G
价格:1399元
推荐:影驰 GTX1660 6G 大将
价格:1499元
简评:影驰的“将”系列具有较高性价比,其中又细分为大将、黑将、骁将、虎将,如果把虎将看做是标准版本,则骁将就是虎将的显存翻倍版本,黑将是虎将的增强版(频率略高),大将是黑将的显存翻倍版本。但特别注意这可能不仅仅是显存翻倍。如:实际产品中有GTX1050 2GB的虎将和黑将,但如果增加到4GB后,对应的就是GTX1050TI骁将和大将,这是因为在台式机显卡中,没有GTX1050 4GB版本的型号,因此翻倍后就变成了GTX1050Ti 4GB 骁将/大将
电脑显卡的品牌排行。

品牌排名见仁见智,很多人对于品牌的意见都不一样,但一线及AMD、NVIDIA核心制造商的产品质量和售后都不会差很多,而通路产品可能就会就良莠不齐了。
三大一线品牌:华硕、微星、技嘉
AMD显卡品牌:蓝宝石、迪兰恒进、悍讯、讯景、HIS等
NVIDIA显卡品牌:索泰、映众、EVGA、七彩虹及影驰的部分系列等。
本问题首次(2017-04-28)日,2019年9月重新根据现在的情况有所修改。

电脑显卡排名

原创文章,作者:聚禄鼎,如若转载,请注明出处:https://www.xxso.cn/131811.html