数学中配方的公式是什么?

配方法是对数学式子进行一种定向变形(配成“完全平方”)的技巧,通过配方找到已知和未知的联系,从而化繁为简。何时配方,需要我们适当预测,并且合理运用“裂项”与“添项”、“配”与“凑”的技巧,从而完成配方。有时也将其称为“凑配法”。
如果二次项系数不为一,先化为一,之后把常数项移到等号右边,最后在等号两边都加上一次项系数一半的平方,就可以了。
扩展资料
1、一般情况下,四则运算的计算顺序是:有括号时,先算括号里面的;只有同一级运算时,从左往右;含有两级运算,先算乘除后算加减。
2、由于有的计算题具有它自身的特征,这时运用运算定律,可以使计算过程简单,同时又不容易出错。
加法交换律:a+b=b+a
乘法交换律:a×b=b×a
加法结合律:(a+b)+c=a+(b+c)
乘法结合律:(a×b)×c=a×(b×c)
配方法的公式是什么?

配方法是根据完全平方公式:(a+/-b)²=a²+/-2ab+b²得出的。
配方只适用于等式方程,就是把等式通过左右两边同时加或减去一个数,使这个等式的左边的式子变成完全平方式的展开式,再因式分解就可以解方程了。
举例:
2a²-4a+2=0
a²-2a+1=0(二次项系数要先化为1,方便使用配方法解题,所以等式两边同除二次项系数2)
(a-1)²=0(上一步的式子发现左边是完全平方式,所以根据完全平方公式,将a²-2a+1因式分解为(a-1)²,这样就完成了配方)
a-1=0(最后等式两边同时开平方)
a=1(得到结果)
扩展资料
配方法的应用
1、用于比较大小:
在比较大小中的应用,通过作差法最后拆项或添项、配成完全平方,使此差大于零(或小于零)而比较出大小。
2、用于求待定字母的值:
配方法在求值中的应用,将原等式右边变为0,左边配成完全平方式后,再运用非负数的性质求出待定字母的取值。
3、用于求最值:
“配方法”在求最大(小)值时的应用,将原式化成一个完全平方式后可求出最值。
4、用于证明:
“配方法”在代数证明中有着广泛的应用,学习二次函数后还会知道“配方法”在二次函数中也有着广泛的应用。
配方法公式

配方法公式:主要利用完全平方和公式
完全平方公式即(a+b)²=a²+2ab+b²、(a-b)²=a²-2ab+b²。该公式是进行代数运算与变形的重要的知识基础,是因式分解中常用到的公式。
数学的配方法怎么配?公式是什么?

若x²+kx+n,则配中间项系数一半的平方.
举例说明 x²+4x+16
首先,配中间项系数一半的平方也就是2²=4.
原式=x²+4x+4+(16-4)=(x+2)²+12
数学怎么配方?

配方只适用于等式方程,配方就是把等式通过左右两边同时加或减去一个数,使这个等式的左边的式子变成完全平方式的展开式,再因式分解就可以解方程了,也就是说配方法这个方法是根据完全平方公式:(a+或-b)平方=a平方+或-2ab+b平方 得出的。
比如你说的这个式子,不是等式就不能用配方法来解,我来举个例子:
2a²-4a+2=0
a²-2a+1=0 (二次项系数要先化为1,方便使用配方法解题,所以等式两边同除二次项系数2)
(a-1)²=0 (上一步的式子发现左边是完全平方式,所以根据完全平方公式,将a²-2a+1因式分解为(a-1)²,这样就完成了配方)
a-1=0(最后等式两边同时开平方)
a=1(得到结果)
扩展资料:
在基本代数中,配方法是一种用来把二次多项式化为一个一次多项式的平方与一个常数的和的方法。这种方法是把以下形式的多项式化为以上表达式中的系数a、b、c、d和e,它们本身也可以是表达式,可以含有除x以外的变量。
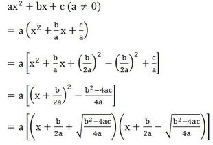
配方法通常用来推导出二次方程的求根公式:我们的目的是要把方程的左边化为完全平方。由于问题中的完全平方具有(x + y)2 = x2 + 2xy + y2的形式,可推出2xy = (b/a)x,因此y = b/2a。等式两边加上y2 = (b/2a)2,可得:
这个表达式称为二次方程的求根公式。
参考资料:百度百科-配方法
原创文章,作者:聚禄鼎,如若转载,请注明出处:https://www.xxso.cn/117855.html