电脑显卡性能排名

1、微星(MSI)
微星已经连续几年坐在显卡出货量头把交椅的位子上,2004年仍以800万片的成绩位居世界第一。微星拥有很强的自主研发能力,是少数几家能独立推出优化的非公版显卡的厂商之一。
其显卡的做工性能都相当出色,但是微星的渠道相对还不是很畅通,在国内二级市场不太容易买到,而且有时会受到断货的困扰。
2、华硕(ASUS)
2004年华硕显卡出货量约790万片,以微弱劣势屈居第二。华硕显卡的品质自然不用说,研发能力更是不凡,他的高端显卡往往都是优化加强的非公版。
作为主板业的霸主,华硕当然不能忍受显卡方面的落后,近两年华硕在显卡业务上逐渐开始发力,将对微星的老大地位发起强有力的挑战。
3、撼迅
来自台湾的厂商,在大陆的品牌叫做“迪兰恒进(Dataland)”,撼讯显卡做工精良,高端尤其出众。2004年撼讯出货量为400万片,位列全球第三,同时还是ATI的三大合作伙伴之一。对于喜欢A卡的朋友来说,撼讯(迪兰恒进)是不错的选择。
4、丽台
是nVidia最重量级的合作伙伴,不但能生产娱乐级显卡,而且是亚洲唯一能生产nVidia的Quadro系列专业绘图卡的厂商,另外丽台的电视卡在业内口碑也相当不错。丽台显卡一贯做工优异,虽然较贵,但确实物有所值。2004年丽台的出货量为300万片,位居五强之列。
5、技嘉(Gigabyte)
相对于微星华硕,技嘉与ATI的合作更早,目前也是ATI的三大伙伴之一,2004年的出货量同为300万片。技嘉的高端显卡设计独到、品质出众;
但是中低端的很多型号都是由同德(下文将介绍)代工的缩水卡,做工相对较差。目前的情况是,红色PCB的技嘉显卡来自同德,而蓝色PCB的才是技嘉自己制造。另外技嘉还有个子公司台湾精星(GigaCube),一直以通路订单为主,主要面向中低端显卡市场。
最新显卡性能排行是什么?

显卡性能排行榜有GTX1080TIi、GTX1070Ti、GTX10606G。都比较推荐。
七彩虹GTX10606G游戏显卡iGame烈焰战神U6GD5超频版由于N卡有许多厂商在做,并且每家都有许多不同的型号,所以价格区间拉得比较大,不过不同型号的差距也就体现在散热和用料上,性能相差不会太大。
概述
显卡又称显示卡( Video card),是计算机中一个重要的组成部分,承担输出显示图形的任务,对喜欢玩游戏和从事专业图形设计的人来说,显卡非常重要。主流显卡的显示芯片主要由NVIDIA(英伟达)和AMD(超威半导体 )两大厂商制造,通常将采用NVIDIA显示芯片的显卡称为N卡,而将采用AMD显示芯片的显卡称为A卡。
以上内容参考:百度百科-显卡
求所有显卡性能排名

老显卡就不说了,现在流行于市面的显卡。
一张图解决你的问题。
http://img3.pconline .康姆 .cn/pconline/1005/19/2126267_tianti_thumb.jpg
显卡排名

一、RTX 2080 Ti进阶版
作为RTX 2080 Ti进阶版,NVIDIA TITAN RTX拥有同款TU102核心,每秒最多可计算110亿条光线,总晶体管数达到186亿个。24GB GDDR6显存可满足8K分辨率下光线追踪的游戏大作,也是处理庞大的数据集、AI计算任务的最佳GPU,拿下鲁大师年度牛角尖奖最强显卡当之无愧。
二、NVIDIA GTX 1660
采用图灵架构的NVIDIA GTX 1660拥有1408个CUDA流处理器,相比GTX1060增加了128个,性能提升更大,性价比更高。以《绝地求生》为例,GTX 1660在2K分辨率下都能稳定在56帧,满足大多数玩家的需求。
而如果想要获得更高的游戏体验,只有多花几千到20系才能得到明显的提升,在性能和价格的均衡下,GTX 1660 1700元的售价又有着不错的性能,绝对可以称得上是新一代“甜品级”显卡。
消费级显卡性能排行榜:新卡竞争激烈
纵观显卡性能排行,除了经常出现在榜单上的20系、10系显卡和AMD RX系列之外,今年还出现了不少新的显卡加入战局。以NVIDIA Super和AMD RX 5000系列为主要两个新卡阵营,两者之间竞争尤其激烈,性能呈现阶梯式排列。
目前显卡中以RTX 2080 Super性能表现最佳,均分超过了34万分。AMD排名最靠前的是AMD Radeon VII,是AMD首款采用Vega 20 GPU和3840流处理器的7nm显卡。
RX 5000系列中性能最强的则是RX 5700XT,基于全新的RDNA架构打造,拥有2560个流处理器,均分超过32万分。
为了阻击AMD的新卡,老黄抢在RX5000系列发布之前秀出刀工,也就是Super系列显卡,将原本的20系产品变得更加紧凑丰满,覆盖到每一个段位。
面对半路杀出来的Super和1660新卡,AMD拿出了RX5000系列用性价比屠夫,3000多的定价,却有着媲美RTX 2080的性能,在绝对的性价比碾压之下,功耗已经不在大家的考虑范畴了。
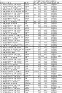
求显卡性能排行。

功耗没有你可以在鲁大师里查
这是目前的新显卡很客观实际如果你要全部显卡的追问
更多追问追答 追问 这个挺好,不过有没有表格形式的?尽量不要图片,不好编辑。真心需求全部显卡。若有且符合我的需求。我将提高悬赏100分,之后再追加50分。谢谢。 追答 这个最全了 除了部分马甲型号和HD7000系列
表格真没有。。 追问 加油啊,这个已经很好了,我以提高悬赏至200分,有没有更详细的?麻烦了。国内网站没有,国外的呢,有没有更详细的? 追答 。。
哥们 我保证没有比这个更全的了
至于缺少的 无非是HD7000系列 和一些马甲型号 比如6770是5770的马甲 6750是5750的马甲
还有像什么GT530(GT540的弱化版) 所谓的HD7690(HD6470的强化版)这种新马甲层出不穷 只能个别留意
原创文章,作者:聚禄鼎,如若转载,请注明出处:https://www.xxso.cn/102796.html